9. Examples
Examples showing how to simply benefit from cpforager package with your biologging data.
9.1. GPS
# ======================================================= #
# LIBRARIES
# ======================================================= #
import os
import pandas as pd
from cpforager import parameters, utils, GPS
# ======================================================= #
# DIRECTORIES
# ======================================================= #
root_dir = os.getcwd()
data_dir = os.path.join(root_dir, "data")
config_dir = os.path.join(root_dir, "configs")
test_dir = os.path.join(root_dir, "tests", "gps")
# ======================================================= #
# PARAMETERS
# ======================================================= #
# set metadata
fieldwork = "BRA_FDN_2016_09"
colony = "BRA_FDN_MEI"
file_name = "BRA_FDN_MEI_2016-09-15_SSUL_01_T32840_NA_GPS_IGU120_BR023_LOC.csv"
file_id = file_name.replace(".csv", "")
file_path = os.path.join(data_dir, fieldwork, file_name)
# set list of configuration paths
config_colony_path = os.path.join(config_dir, "colony_%s.yml" % (colony))
config_general_path = os.path.join(config_dir, "general.yml")
# set parameters dictionaries
params = parameters.get_params([config_colony_path, config_general_path])
plot_params = parameters.get_plot_params()
# ======================================================= #
# BUILD GPS OBJECT
# ======================================================= #
# load raw data
df = pd.read_csv(file_path, sep=",")
# add a "datetime" column of type datetime64
df["datetime"] = pd.to_datetime(df["date"] + " " + df["time"], format="mixed", dayfirst=False)
# if time is at UTC, convert it to local datetime
if "_UTC" in file_name: df = utils.convert_utc_to_loc(df, params.get("local_tz"))
# build GPS object (df must have "datetime", "longitude" and "latitude" columns)
gps = GPS(df=df, group=fieldwork, id=file_id, params=params)


9.2. TDR
# ======================================================= #
# LIBRARIES
# ======================================================= #
import os
import pandas as pd
from cpforager import parameters, utils, TDR
# ======================================================= #
# DIRECTORIES
# ======================================================= #
root_dir = os.getcwd()
data_dir = os.path.join(root_dir, "data")
config_dir = os.path.join(root_dir, "configs")
test_dir = os.path.join(root_dir, "tests", "tdr")
# ======================================================= #
# PARAMETERS
# ======================================================= #
# set metadata
fieldwork = "BRA_FDN_2022_04"
colony = "BRA_FDN_MEI"
file_name = "BRA_FDN_MEI_2022-04-26_SDAC_01_U61556_F_TDR_G5_RT10_UTC.csv"
file_id = file_name.replace(".csv", "")
file_path = os.path.join(data_dir, fieldwork, file_name)
# set configuration paths
config_colony_path = os.path.join(config_dir, "colony_%s.yml" % (colony))
config_dives_path = os.path.join(config_dir, "dives_SULA.yml")
# set parameters dictionaries
params = parameters.get_params([config_colony_path, config_dives_path])
plot_params = parameters.get_plot_params()
# ======================================================= #
# BUILD TDR OBJECT
# ======================================================= #
# load raw data
df = pd.read_csv(file_path, sep=",")
# add a "datetime" column of type datetime64
df["datetime"] = pd.to_datetime(df["date"] + " " + df["time"], format="mixed", dayfirst=False)
# if time is at UTC, convert it to local datetime
if "_UTC" in file_name: df = utils.convert_utc_to_loc(df, params.get("local_tz"))
# build TDR object (df must have "datetime", "pressure" and "temperature" columns)
tdr = TDR(df=df, group=fieldwork, id=file_id, params=params)

9.3. AXY
# ======================================================= #
# LIBRARIES
# ======================================================= #
import os
import pandas as pd
from cpforager import parameters, utils, AXY
# ======================================================= #
# DIRECTORIES
# ======================================================= #
root_dir = os.getcwd()
data_dir = os.path.join(root_dir, "data")
config_dir = os.path.join(root_dir, "configs")
test_dir = os.path.join(root_dir, "tests", "axy")
# ======================================================= #
# PARAMETERS
# ======================================================= #
# set metadata
fieldwork = "BRA_FDN_2022_04"
colony = "BRA_FDN_MEI"
file_name = "BRA_FDN_MEI_2022-04-26_SDAC_01_U61556_F_GPS_AXY_RT10_UTC.csv"
file_id = file_name.replace(".csv", "")
file_path = os.path.join(data_dir, fieldwork, file_name)
# set configuration paths
config_colony_path = os.path.join(config_dir, "colony_%s.yml" % (colony))
config_trips_path = os.path.join(config_dir, "trips.yml")
config_dives_path = os.path.join(config_dir, "dives_SULA.yml")
config_accelero_path = os.path.join(config_dir, "accelero_rollavg.yml")
# set parameters dictionaries
params = parameters.get_params([config_colony_path, config_trips_path, config_dives_path, config_accelero_path])
plot_params = parameters.get_plot_params()
# ======================================================= #
# BUILD AXY OBJECT
# ======================================================= #
# load raw data
df = pd.read_csv(file_path, sep=",")
# add a "datetime" column of type datetime64
df["datetime"] = pd.to_datetime(df["date"] + " " + df["time"], format="%Y-%m-%d %H:%M:%S.%f", dayfirst=False)
# if time is at UTC, convert it to local datetime
if "_UTC" in file_name: df = utils.convert_utc_to_loc(df, params.get("local_tz"))
# build AXY object (df must have "datetime", "ax", "ay", "az", "longitude", "latitude", "pressure" and "temperature" columns)
axy = AXY(df=df, group=fieldwork, id=file_id, params=params)

9.4. GPS_TDR
# ======================================================= #
# LIBRARIES
# ======================================================= #
import os
import pandas as pd
from cpforager import parameters, utils, GPS_TDR
# ======================================================= #
# DIRECTORIES
# ======================================================= #
root_dir = os.getcwd()
data_dir = os.path.join(root_dir, "data")
config_dir = os.path.join(root_dir, "configs")
test_dir = os.path.join(root_dir, "tests", "gps_tdr")
# ======================================================= #
# PARAMETERS
# ======================================================= #
# set metadata
fieldwork = "PER_PSC_2008_11"
colony = "PER_PSC_PSC"
gps_file_name = "PER_PSC_PSC_2008-11-25_SVAR_06_5006_F_GPS_GIP_36_UTC.csv"
tdr_file_name = "PER_PSC_PSC_2008-11-25_SVAR_06_5006_F_TDR_G5_3075_UTC.csv"
file_id = "PER_PSC_PSC_2008-11-25_SVAR_06_5006_F_GPSxTDR"
# set configuration paths
config_colony_path = os.path.join(config_dir, "colony_%s.yml" % (colony))
config_trips_path = os.path.join(config_dir, "trips.yml")
config_dives_path = os.path.join(config_dir, "dives_SULA.yml")
# set parameters dictionaries
params = parameters.get_params([config_colony_path, config_trips_path, config_dives_path])
plot_params = parameters.get_plot_params()
# ======================================================= #
# BUILD GPS_TDR OBJECT
# ======================================================= #
# set file infos
gps_file_id = gps_file_name.replace(".csv", "")
gps_file_path = os.path.join(data_dir, fieldwork, gps_file_name)
tdr_file_id = tdr_file_name.replace(".csv", "")
tdr_file_path = os.path.join(data_dir, fieldwork, tdr_file_name)
# load raw data
df_gps = pd.read_csv(gps_file_path, sep=",")
df_tdr = pd.read_csv(tdr_file_path, sep=",")
# produce "datetime" column of type datetime64
df_gps["datetime"] = pd.to_datetime(df_gps["date"] + " " + df_gps["time"], format="mixed", dayfirst=False)
df_tdr["datetime"] = pd.to_datetime(df_tdr["date"] + " " + df_tdr["time"], format="mixed", dayfirst=False)
# if sensor model is G5, convert dbar to hPa
if "_TDR_G5_" in tdr_file_name: df_tdr["pressure"] = 100*df_tdr["pressure"]
# if time is at UTC, convert it to local datetime
if "_UTC" in gps_file_name: df_gps = utils.convert_utc_to_loc(df_gps, params.get("local_tz"))
if "_UTC" in tdr_file_name: df_tdr = utils.convert_utc_to_loc(df_tdr, params.get("local_tz"))
# merge TDR and GPS data on datetime colum
df = pd.merge_ordered(df_gps, df_tdr, on="datetime", how="outer")
df[["date", "time"]] = df[["date_y", "time_y"]]
df = df[["date", "time", "datetime", "longitude", "latitude", "pressure", "temperature"]]
# build GPS_TDR object (df must have "datetime", "longitude", "latitude", "pressure" and "temperature" columns)
gps_tdr = GPS_TDR(df=df, group=fieldwork, id=file_id, params=params)


9.5. GPS_Collection
# ======================================================= #
# LIBRARIES
# ======================================================= #
import os
import pandas as pd
from cpforager import parameters, utils, misc, GPS, GPS_Collection
# ======================================================= #
# DIRECTORIES
# ======================================================= #
root_dir = os.getcwd()
data_dir = os.path.join(root_dir, "data")
config_dir = os.path.join(root_dir, "configs")
test_dir = os.path.join(root_dir, "tests", "gps_collection")
# ======================================================= #
# PARAMETERS
# ======================================================= #
# set metadata
fieldworks = ["PER_PSC_2012_11", "PER_PSC_2013_11", "BRA_FDN_2016_09", "BRA_FDN_2018_09", "BRA_SAN_2022_03"]
colonies = ["PER_PSC_PSC", "PER_PSC_PSC", "BRA_FDN_MEI", "BRA_FDN_MEI", "BRA_SAN_FRA"]
# set configuration paths
config_trips_path = os.path.join(config_dir, "trips.yml")
# get parameters dictionaries
plot_params = parameters.get_plot_params()
# ======================================================= #
# BUILD GPS_COLLECTION OBJECT
# ======================================================= #
# loop over fieldworks
gps_collection = []
for (fieldwork, colony) in zip(fieldworks, colonies):
# determine list of gps files
files = misc.grep_pattern(os.listdir(os.path.join(data_dir, fieldwork)), "_GPS_IGU")
n_files = len(files)
# set configuration paths according to colony code
config_colony_path = os.path.join(config_dir, "colony_%s.yml" % (colony))
# set parameters dictionaries
params = parameters.get_params([config_colony_path, config_trips_path])
# loop over gps files
for k in range(n_files):
# set file infos
file_name = files[k]
file_id = file_name.replace(".csv", "")
file_path = os.path.join(data_dir, fieldwork, file_name)
# load raw data
df = pd.read_csv(file_path, sep=",")
# produce "datetime" column of type datetime64
df["datetime"] = pd.to_datetime(df["date"] + " " + df["time"], format="mixed", dayfirst=False)
# if time is at UTC, convert it to local datetime
if "_UTC" in file_name: df = utils.convert_utc_to_loc(df, params.get("local_tz"))
# build GPS object
gps = GPS(df=df, group=fieldwork, id=file_id, params=params)
# append gps to the overall collection
gps_collection.append(gps)
# build GPS_Collection object
gps_collection = GPS_Collection(gps_collection)



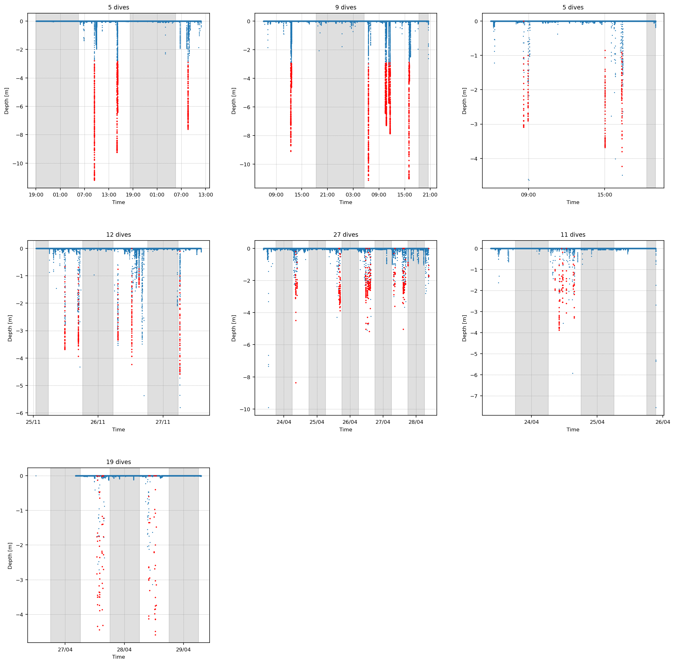
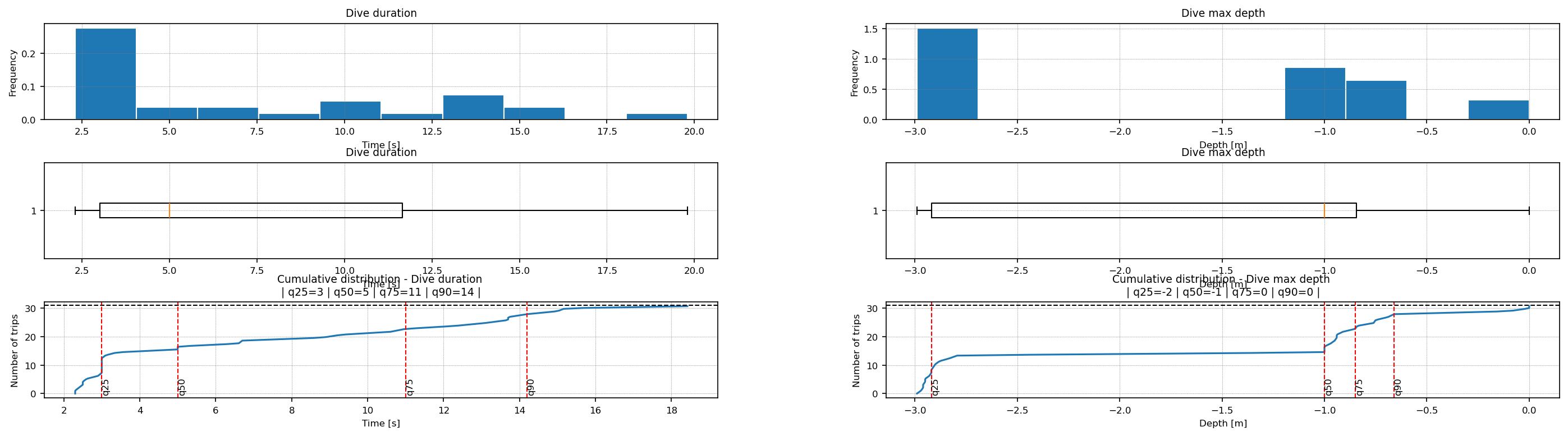
9.6. TDR_Collection
# ======================================================= #
# LIBRARIES
# ======================================================= #
import os
import pandas as pd
from cpforager import parameters, utils, misc, TDR, TDR_Collection
# ======================================================= #
# DIRECTORIES
# ======================================================= #
root_dir = os.getcwd()
data_dir = os.path.join(root_dir, "data")
config_dir = os.path.join(root_dir, "configs")
test_dir = os.path.join(root_dir, "tests", "tdr_collection")
# ======================================================= #
# PARAMETERS
# ======================================================= #
# set metadata
fieldworks = ["PER_PSC_2008_11", "BRA_FDN_2017_04", "BRA_FDN_2022_04"]
colonies = ["PER_PSC_PSC", "BRA_FDN_MEI", "BRA_FDN_MEI"]
# set plot parameters dictionary
plot_params = parameters.get_plot_params()
# ======================================================= #
# BUILD TDR_COLLECTION OBJECT
# ======================================================= #
# loop over fieldworks
tdr_collection = []
for (fieldwork, colony) in zip(fieldworks, colonies):
# list of files to process
files = misc.grep_pattern(os.listdir(os.path.join(data_dir, fieldwork)), "_TDR_")
n_files = len(files)
# set configuration paths
config_colony_path = os.path.join(config_dir, "colony_%s.yml" % (colony))
if "_LBOU_" in file_name:
config_dives_path = os.path.join(config_dir, "dives_LEUC.yml")
else:
config_dives_path = os.path.join(config_dir, "dives_SULA.yml")
# set parameters dictionary
params = parameters.get_params([config_colony_path, config_dives_path])
# loop over files in directory
for k in range(n_files):
# set file infos
file_name = files[k]
file_id = file_name.replace(".csv", "")
file_path = os.path.join(data_dir, fieldwork, file_name)
# load raw data
df = pd.read_csv(file_path, sep=",")
# produce "datetime" column of type datetime64
df["datetime"] = pd.to_datetime(df["date"] + " " + df["time"], format="mixed", dayfirst=False)
# if time is at UTC, convert it to local datetime
if "_UTC" in file_name: df = utils.convert_utc_to_loc(df, params.get("local_tz"))
# if sensor model is G5, convert dbar to hPa
if "_TDR_G5_" in file_name: df["pressure"] = 100*df["pressure"]
# build TDR object
tdr = TDR(df=df, group=fieldwork, id=file_id, params=params)
# append tdr to the overall collection
tdr_collection.append(tdr)
# build TDR_Collection object
tdr_collection = TDR_Collection(tdr_collection)


9.7. AXY_Collection
# ======================================================= #
# LIBRARIES
# ======================================================= #
import os
import pandas as pd
from cpforager import parameters, utils, misc, AXY, AXY_Collection
# ======================================================= #
# DIRECTORIES
# ======================================================= #
root_dir = os.getcwd()
data_dir = os.path.join(root_dir, "data")
config_dir = os.path.join(root_dir, "configs")
test_dir = os.path.join(root_dir, "tests", "axy_collection")
# ======================================================= #
# PARAMETERS
# ======================================================= #
# set metadata
fieldwork = "BRA_FDN_2022_04"
colony = "BRA_FDN_MEI"
# set configuration paths
config_colony_path = os.path.join(config_dir, "colony_%s.yml" % (colony))
config_trips_path = os.path.join(config_dir, "trips.yml")
config_dives_path = os.path.join(config_dir, "dives_SULA.yml")
config_accelero_path = os.path.join(config_dir, "accelero_rollavg.yml")
# set parameters dictionaries
params = parameters.get_params([config_colony_path, config_trips_path, config_dives_path, config_accelero_path])
plot_params = parameters.get_plot_params()
# ======================================================= #
# BUILD AXY_COLLECTION OBJECT
# ======================================================= #
# list of files to process
files = misc.grep_pattern(os.listdir(os.path.join(data_dir, fieldwork)), "_GPS_AXY_")
n_files = len(files)
# loop over files in directory
axy_collection = []
for k in range(n_files):
# set file infos
file_name = files[k]
file_id = file_name.replace(".csv", "")
file_path = os.path.join(data_dir, fieldwork, file_name)
# load raw data
df = pd.read_csv(file_path, sep=",")
# produce "datetime" column of type datetime64
df["datetime"] = pd.to_datetime(df["date"] + " " + df["time"], format="mixed", dayfirst=False)
# if time is at UTC, convert it to local datetime
if "_UTC" in file_name: df = utils.convert_utc_to_loc(df, params.get("local_tz"))
# build AXY object
axy = AXY(df=df, group=fieldwork, id=file_id, params=params)
# append axy to the overall collection
axy_collection.append(axy)
# build AXY_Collection object
axy_collection = AXY_Collection(axy_collection)
9.8. GPS_TDR_Collection
# ======================================================= #
# LIBRARIES
# ======================================================= #
import os
import pandas as pd
from cpforager import parameters, utils, misc, GPS_TDR, GPS_TDR_Collection
# ======================================================= #
# DIRECTORIES
# ======================================================= #
root_dir = os.getcwd()
data_dir = os.path.join(root_dir, "data")
config_dir = os.path.join(root_dir, "configs")
test_dir = os.path.join(root_dir, "tests", "gps_tdr_collection")
# ======================================================= #
# PARAMETERS
# ======================================================= #
# set metadata
fieldwork = "PER_PSC_2008_11"
colony = "PER_PSC_PSC"
# list of bird ids (both in gps and tdr files)
bird_ids = ["_LBOU_55_", "_LBOU_56_", "_SVAR_06_", "_SVAR_04_"]
n_bird_ids = len(bird_ids)
# set configuration paths
config_colony_path = os.path.join(config_dir, "colony_%s.yml" % (colony))
config_trips_path = os.path.join(config_dir, "trips.yml")
# set plot parameters dictionary
plot_params = parameters.get_plot_params()
# ======================================================= #
# BUILD GPS_TDR_COLLECTION OBJECT
# ======================================================= #
# loop over bird ids
gps_tdr_collection = []
for k in range(n_bird_ids):
# get bird id
bird_id = bird_ids[k]
# get corresponding gps file name
gps_file_name = misc.grep_pattern(misc.grep_pattern(os.listdir(os.path.join(data_dir, fieldwork)), "_GPS_"), bird_id)[0]
# get corresponding tdr file
tdr_file_name = misc.grep_pattern(misc.grep_pattern(os.listdir(os.path.join(data_dir, fieldwork)), "_TDR_"), bird_id)[0]
# set file infos
gps_file_id = gps_file_name.replace(".csv", "")
gps_file_path = os.path.join(data_dir, fieldwork, gps_file_name)
tdr_file_id = tdr_file_name.replace(".csv", "")
tdr_file_path = os.path.join(data_dir, fieldwork, tdr_file_name)
# set configuration paths
if "_LBOU_" in tdr_file_name:
config_dives_path = os.path.join(config_dir, "dives_LEUC.yml")
else:
config_dives_path = os.path.join(config_dir, "dives_SULA.yml")
# set parameters dictionaries
params = parameters.get_params([config_colony_path, config_trips_path, config_dives_path])
# load raw data
df_gps = pd.read_csv(gps_file_path, sep=",")
df_tdr = pd.read_csv(tdr_file_path, sep=",")
# produce "datetime" column of type datetime64
df_gps["datetime"] = pd.to_datetime(df_gps["date"] + " " + df_gps["time"], format="mixed", dayfirst=False)
df_tdr["datetime"] = pd.to_datetime(df_tdr["date"] + " " + df_tdr["time"], format="mixed", dayfirst=False)
# if sensor model is G5, convert dbar to hPa
if "_TDR_G5_" in tdr_file_name: df_tdr["pressure"] = 100*df_tdr["pressure"]
# if time is at UTC, convert it to local datetime
if "_UTC" in gps_file_name: df_gps = utils.convert_utc_to_loc(df_gps, params.get("local_tz"))
if "_UTC" in tdr_file_name: df_tdr = utils.convert_utc_to_loc(df_tdr, params.get("local_tz"))
# merge TDR and GPS data on datetime colum
df = pd.merge_ordered(df_gps, df_tdr, on="datetime", how="outer")
df[["date", "time"]] = df[["date_y", "time_y"]]
df = df[["date", "time", "datetime", "longitude", "latitude", "pressure", "temperature"]]
# build GPS_TDR object
gps_tdr = GPS_TDR(df=df, group=fieldwork, id=bird_id, params=params)
# append gps_tdr to the overall collections
gps_tdr_collection.append(gps_tdr)
# build GPS_TDR_Collection object
gps_tdr_collection = GPS_TDR_Collection(gps_tdr_collection)